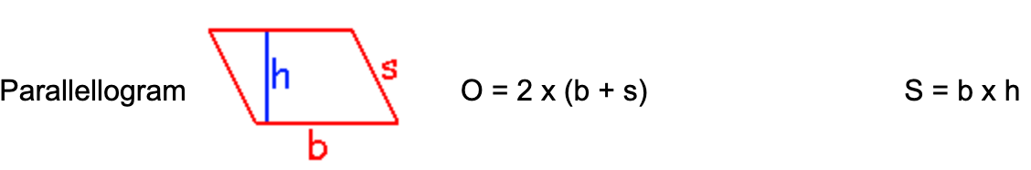
Schrijf een Python-programma dat de omtrek en de oppervlakte van een parallellogram berekent. Je programma vraagt eerst aan de gebruiker om volgende 3 gegevens in te voeren (gehele getallen uitgedrukt in cm):
Het programma berekent vervolgens de omtrek (O) en de oppervlakte (S) van een parallellogram met deze parameters.

Het resultaat wordt als volgt op het scherm getoond (waarbij <b>, en <h> en <s> vervangen worden door de ingegeven waarden):
Parallellogram met hoogte <h> cm, breedte <b> cm en schuine zijde <s> cm:
Omtrek: ___ cm
Oppervlakte: ___cm2
Tip: Geef betekenisvolle namen aan je variabelen en stel een goede vraagzin zodat het voor de gebruiker van je programma duidelijk is wat hij/zij moet ingeven. Let ook op de Nederlandse spellingsregels (Een vraagzin begint met een hoofdletter en eindigt met : of ? gevolgd door een spatie!).
5
10
6
Parallellogram met hoogte 5 cm, breedte 10 cm en schuine zijde 6 cm:
Omtrek: 32 cm
Oppervlakte: 50 cm2