Schrijf een programma dat de vervangingsweerstand berekent voor 2 weerstanden die ofwel in serie of in parallel geschakeld zijn. Het programma vraagt dus eerst om wat voor schakeling het gaat. De gebruiker geeft als input een “S” in voor serie of “P” voor parallel. Het programma vraagt vervolgens de 2 weerstandswaarden (gehele getallen, in Ohm) op 2 aparte lijnen (2 inputs).
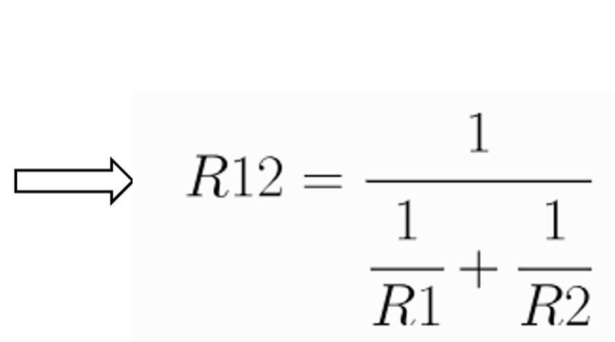
Afhankelijk van de schakeling gebruik je de juiste berekening voor de vervangingsweerstand.

of

Het resultaat wordt als volgt getoond: “De vervangingsweerstand Rv = ___ Ohm.”
Geef betekenisvolle namen aan je variabelen en stel goede vraagzinnen zodat het voor de gebruiker van je programma duidelijk is wat hij moet ingeven. Let ook op de Nederlandse spellingsregels (Een vraagzin begint met een hoofdletter en eindigt met : of ? gevolgd door een spatie!).
S
10
10
De vervangingsweerstand Rv = 20 Ohm.
P
10
10
De vervangingsweerstand Rv = 5.0 Ohm.