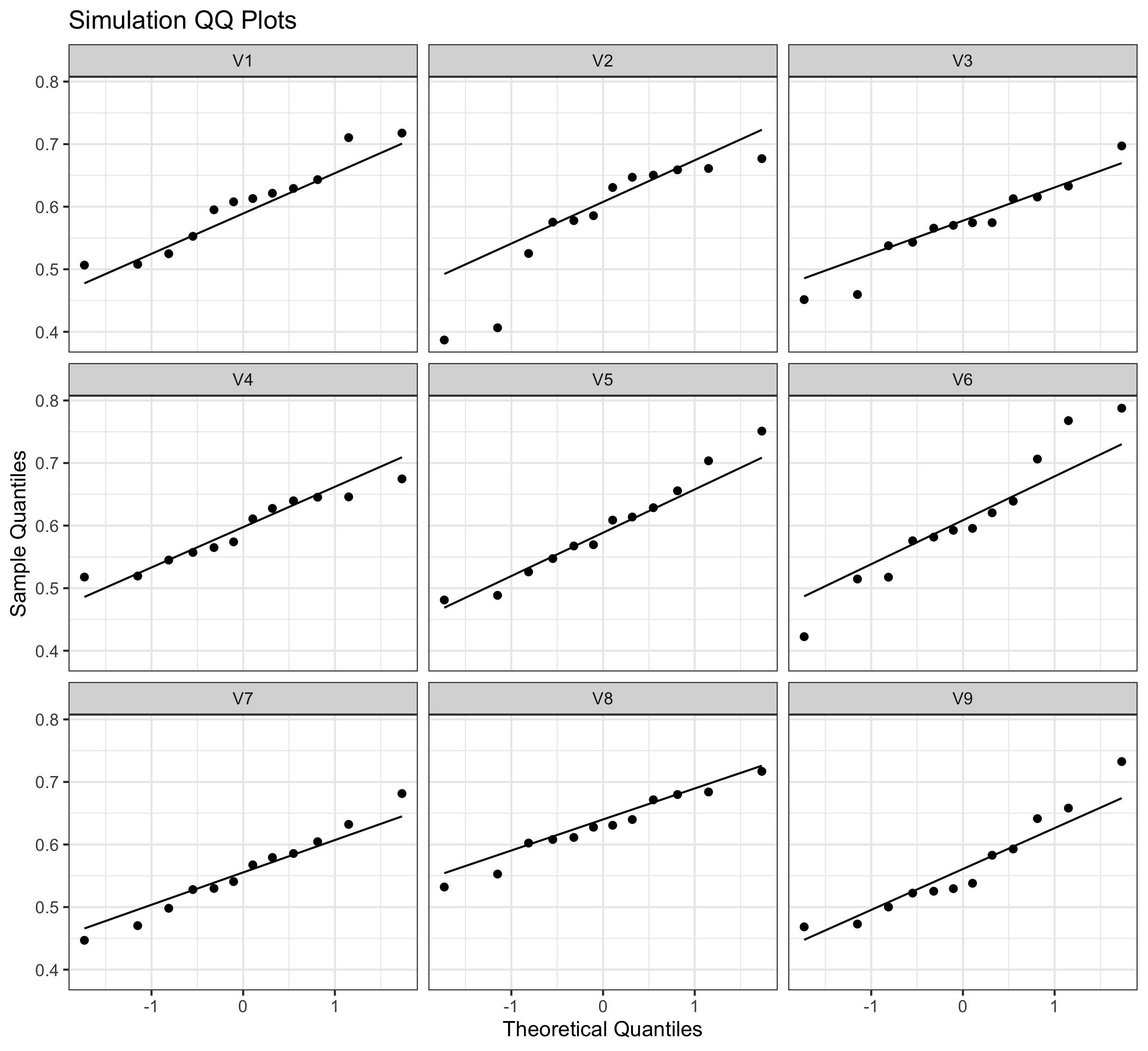
Vraag 5: Afwijkingen van normaliteit of niet?

Het is niet altijd eenvoudig om op basis van een klein aantal datapunten de normaliteit te beoordelen. Op de QQ-plot in de vorige opgave zouden we een lichte afwijking in de linkse staart kunnen opmerken. De vraag is dan of de geobserveerde afwijking hier valt onder de te verwachten afwijking ven een normale distributie. We kunnen dit nagaan door QQ-plots te simuleren van 12 datapunten onder een normale verdeling.

set.seed(1)
n_simulations <- 9
n_datapoints <- 12

SimulationDataFrame <- sapply(1:n_simulations, 
                              function(x){
                                rnorm(n=n_datapoints, mean=mean(cor_coef), sd=sd(cor_coef))
                                }) %>%
                              as_tibble() %>% 
                              pivot_longer(cols = 1:n_simulations, 
                                           names_to = "SimulationIndex",
                                           values_to = "DataPoint") 

SimulationDataFrame %>% 
  ggplot(aes(sample = DataPoint)) + 
  geom_qq() +
  geom_qq_line() +
  facet_wrap(~SimulationIndex,
             scales = "fixed") + 
  ylab("Sample Quantiles") +
  xlab("Theoretical Quantiles") +
  ggtitle("Simulation QQ Plots") + 
  theme_bw()