Warning! The page was not fully loaded, probably because of a network issue. It could be that not all functionalities work as expected. Please try reloading the page.
Vraag 3: Aannames lineaire regressie
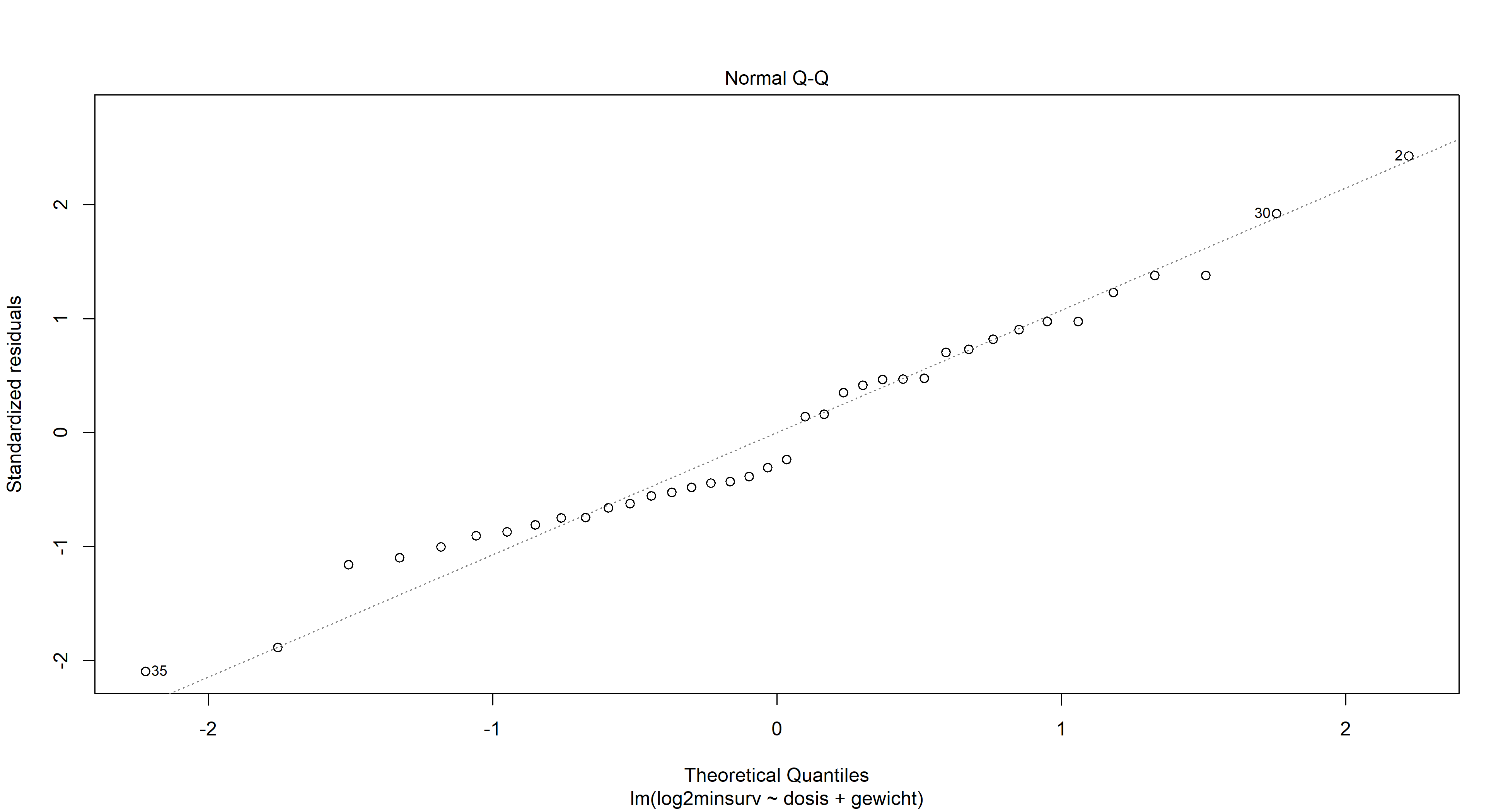
Ga de aannames voor lineaire regressie na aan de hand van de plot()functie.