In deze sectie illustreren we hoe experimenten met een factoriële proefopzet geanalyseerd kunnen worden met het algemeen lineair model.
We focussen hierbij op een two-way anova design waarbij we een continue response modelleren in functie van twee categorische predictor variabelen (factoren).
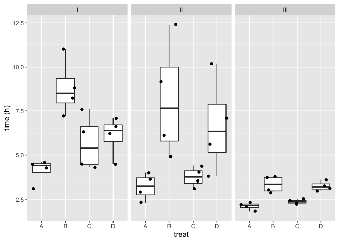
48 ratten werden at random toegewezen aan
en,
We transformeren de data eerst naar uren
library(faraway)
data(rats)
rats <- rats %>%
mutate(time=time * 10)
library(GGally)
rats %>%
ggpairs()

De data exploratie suggereert een effect van beide factoren.
rats %>%
ggplot(aes(x=treat,y=time)) +
geom_boxplot(outlier.shape=NA) +
geom_jitter() +
facet_wrap(~poison) +
ylab("time (h)")
