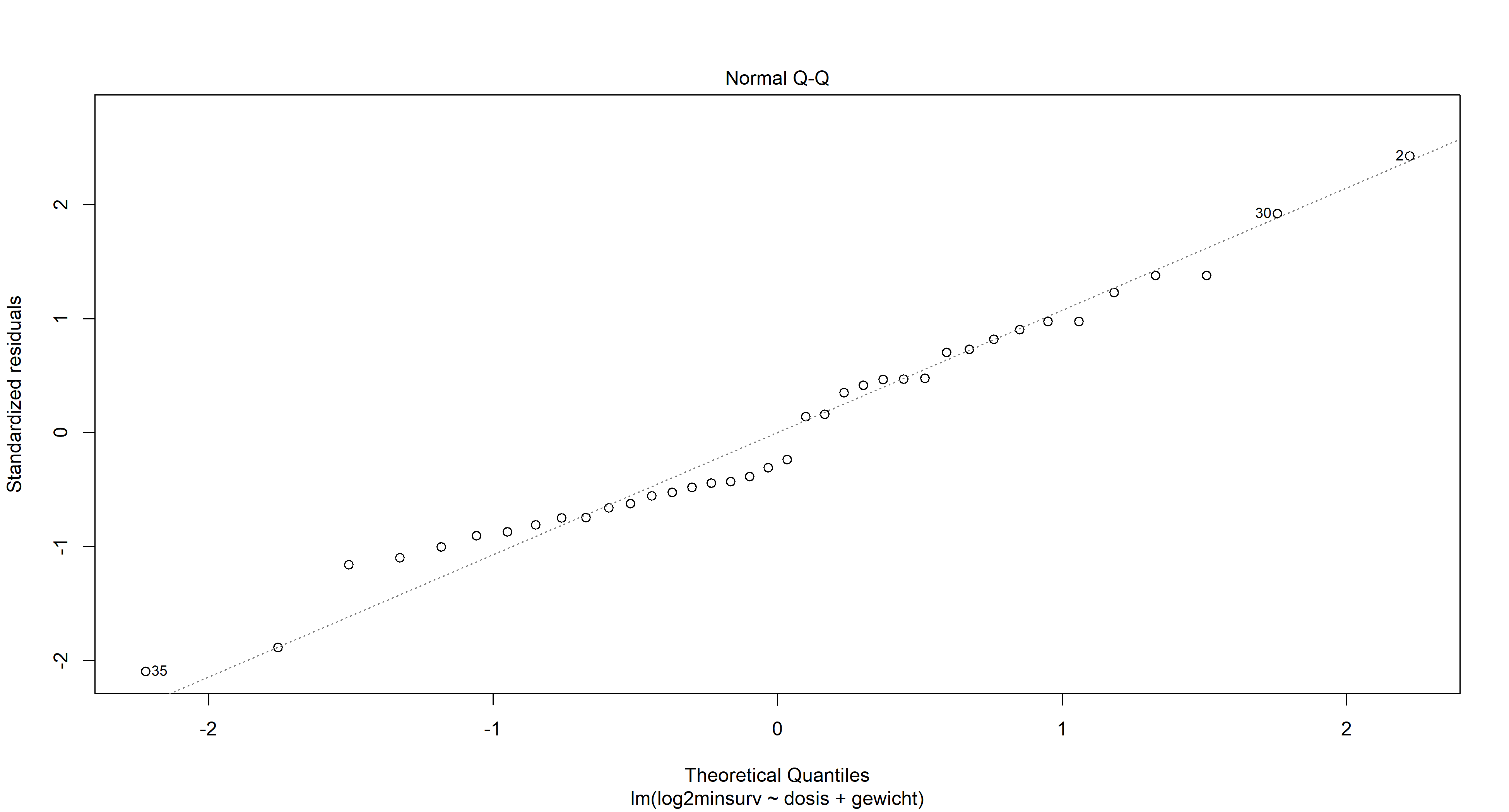
Vraag 3: Aannames lineaire regressie

Ga de aannames voor lineaire regressie na aan de hand van de plot()functie.

plot(lmGoud)