Schrijf een programma dat de vervangingsweerstand berekent voor 2 weerstanden geschakeld in parallel. Het programma vraagt de 2 weerstandswaarden (gehele getallen, in Ohm) op 2 aparte lijnen (2 inputs). Het resultaat wordt als volgt getoond:
De vervangingsweerstand Rv = ___ Ohm.

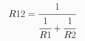
In de les elektriciteit heb je gezien dat je met volgende formule de vervangingsweerstand van 2 weerstanden in parallel kan berekenen:

Geef betekenisvolle namen aan je variabelen en stel goede vraagzinnen zodat het voor de gebruiker van je programma duidelijk is wat hij moet ingeven. Let ook op de Nederlandse spellingsregels (Een vraagzin begint met een hoofdletter en eindigt met : of ? gevolgd door een spatie!).
10
10
De vervangingsweerstand Rv = 5.0 Ohm.