Opgepast! De pagina kon niet volledig ingeladen worden, waarschijnlijk door een netwerkprobleem. Het kan zijn dat niet alle functionaliteit beschikbaar is. Probeer de pagina te verversen.
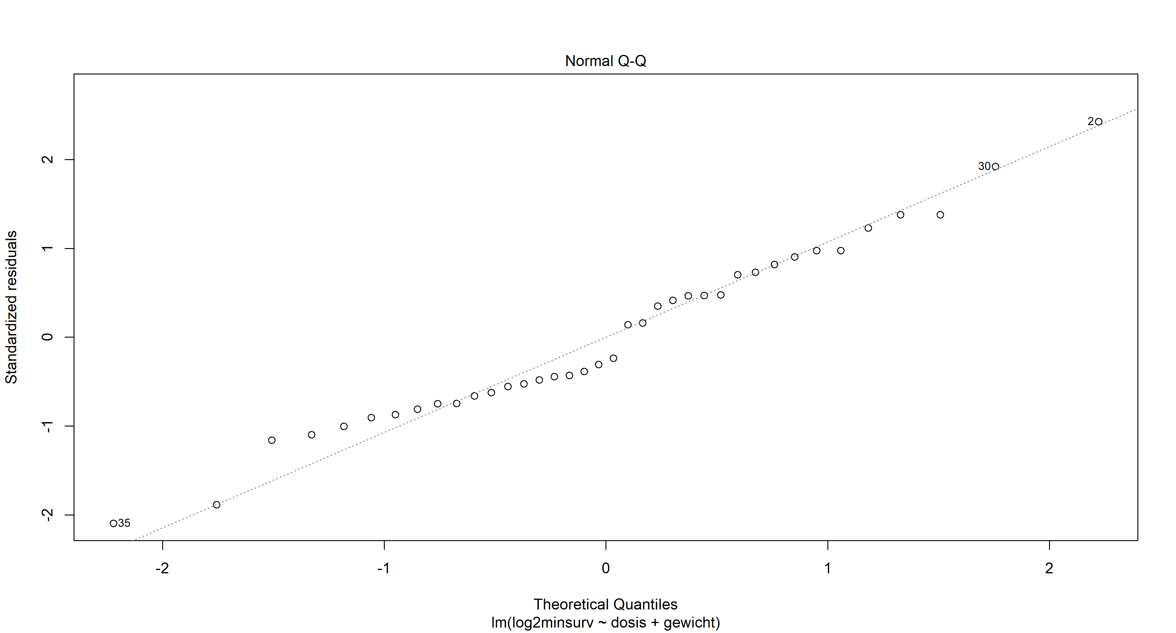
Vraag 3: Aannames lineaire regressie
Ga de aannames voor lineaire regressie na aan de hand van de plot()functie.